
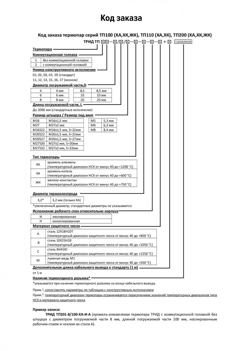
Термопары с кабельным выводом
Серия термопар с удлинительным проводом является наиболее востребованной благодаря простоте конструктивного исполнения и широкому диапазону применения. Также характеризуется разнообразием конструкций и вариантов изготовления. В данной серии термопарных преобразователей ТРИД с кабельным выводом представлены пять моделей различного конструктивного исполнения.
Технические характеристики
Условное давление*, МПа
6,3
Исполнение рабочего спая термопары
изолированный неизолированный
Сопротивление изоляции не менее, МОм (при температуре 10-30 °С, при испытательном напряжении 100В)
100
Количество рабочих спаев в изделии, шт.
1
Степень защиты по ГОСТ 14254
IP54
Длина кабельного вывода (для ТП100)**, м
от 0,5 до 1






631-184-701