Термопары с кабельным выводом эконом
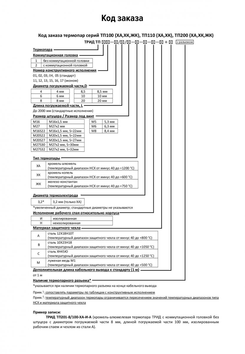
Модельный ряд доступных термопар представлен в шести вариантах конструктивных исполнений с варьирующимися габаритными размерами. Все модели могут быть изготовлены из типов НСХ ХА (К) и ХК (L). Опционально термопары могут быть укомплектованы термопарным разъемом (штекером). Упрощенная конструкция изделий этой серии позволяет вам приобрести термопары по максимально выгодной цене.
Технические характеристики
Условное давление*, МПа
6,3
Исполнение рабочего спая термопары
изолированный неизолированный
Сопротивление изоляции не менее, МОм (при температуре 10-30 °С, при испытательном напряжении 100В)
100
Количество рабочих спаев в изделии, шт.
1
Степень защиты по ГОСТ 14254
IP54
Длина кабельного вывода (для ТП100)**, м
от 0,5 до 1







631-184-701